Skip to content
Vertical

Vertical

Jurnalul ce străbate timpul

  • Home
  • Actualitate
  • Şcoala
  • Magazin
  • Istorie
  • Patrimoniu
  • Special
  • Administrație
  • Politică
  • Contact
Main Menu
Administrație / Cover

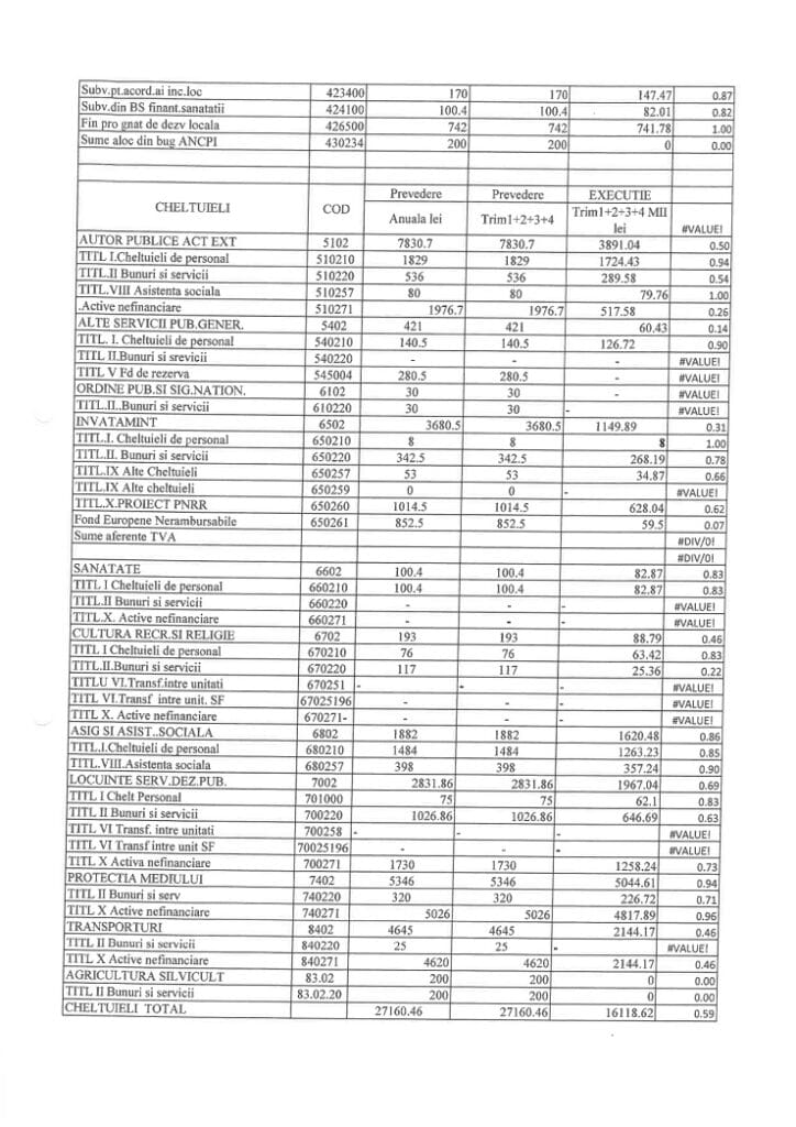
Hotărâri consiliu Cătunele, ianuarie 2025

28 februarie 202522 martie 2025 - by Vertical
Tagged2025catuneleconsiliuhotarariianuarievertical

Related Posts

Hotărâri consiliu Cătunele – Gorj, septembrie 2025

13 octombrie 202513 octombrie 2025

Hotărâri consiliu Mătăsari – Gorj, septembrie 2025

10 octombrie 202510 octombrie 2025

Dublă Sărbătoare la Turburea: Slujbă de Sfințire și Ziua Internațională a Vârstnicilor

29 septembrie 202529 septembrie 2025

Navigare în articole

Previous Article APEL pentru viața unui tânăr polițist din Gorj, aflat la ATI: Are nevoie urgent de sânge, grupă rară!
Next Article Hotărâri Consiliu Mătăsari, ianuarie 2025

Editoriale

Vezi toate articolele

Catredala demnității naționale

28 octombrie 202528 octombrie 2025

Revenim la Valea Plângerii?

5 octombrie 20255 octombrie 2025

Publicaţie editată de AV STUDIO GROUP 2012 SRL, ISSN: 1841-6063

Director: Cornel Şomâcu (0748/828.211)
Redactor şef: Aura Stoenescu (0766/314.582)
Redacţie: Andrei Popescu, Cristina Celaru, Ion Elena, Ion Hobeanu, Daniel Cismaşu, Cristina Vasiloiu, Marius Buzera, Adelin Ungureanu
Layout: Mihai Codreanu, Andrei Stoenescu

Email: aura_stoenescu@yahoo.com

Notă: Conform art. 206 CP, resposabilitatea juridică pentru conţinutul articolului revine autorului. De asemenea în cazul unor agenţii de presă citate, responsabilitatea le aparţine.


Publicitate

Fotograf de nuntă din Târgu Jiu

Copyright © 2025 Vertical.
Powered by WordPress and HitMag.